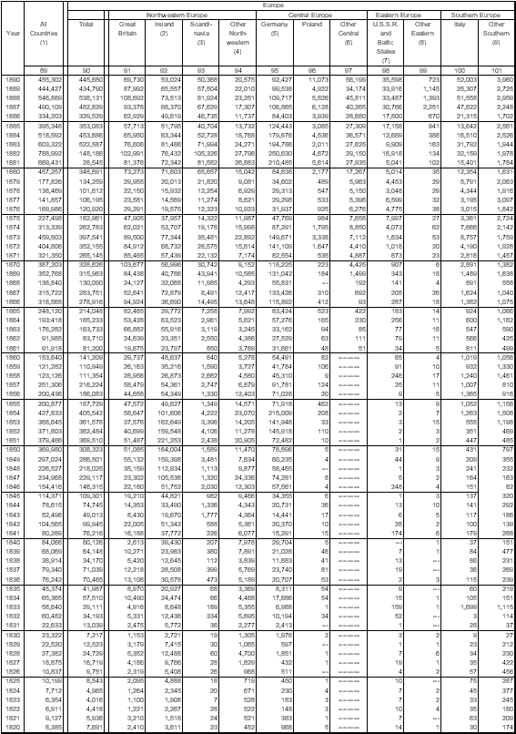
Series C-106 Immigrants: 1920-1890
-
U.S. Bureau of the Census
Citation Information:“Series C-106 Immigrants: 1920-1890,” U.S. Bureau of the Census.Historical Statistics of the United States: Colonial Times to 1970, Bicentennial Edition, Part 1, (Washington, D.C. 1975), p. 106.
